Pharmazeutische Zeitung online Avoxa
whatsApp instagram facebook bluesky linkedin xign

Verunreinigungen
-
Wie gefährlich sind Nitrosamine?

Im Sommer 2018 schreckte die Nachricht auf, dass Arzneimittel mit Valsartan mit beträchtlichen Mengen an Nitrosaminen verunreinigt waren. Diese gelten als kanzerogen. Wie gefährlich sind die gefundenen Nitrosamin-Mengen und welche Konsequenzen haben die Zulassungsbehörden gezogen?
AutorUlrike Holzgrabe
Datum 04.04.2021  08:00 Uhr

Dass Arzneimittel mit Nitrosaminen verunreinigt sind, hat Synthesechemiker und vielleicht auch manchen Analytiker nicht unbedingt verwundert, aber die Bevölkerung war alarmiert, vor allem, weil in der Folge in weiteren Arzneimitteln Nitrosamine gefunden wurden. Für den Lebensmittelchemiker ist eine solche Kontamination allerdings nichts Besonderes, da in vielen Nahrungsmitteln Nitrosamine enthalten sind oder durch Prozessierung und Kochen gebildet werden. Wie ernst sind die gefundenen Nitrosamin-Mengen in Arzneimitteln und warum ist es überhaupt dazu gekommen?

Der regulatorische Hintergrund

Die Qualität, sprich die Reinheit von Arzneimitteln wird seit Jahrhunderten in Arzneibüchern geregelt. Heutzutage spielt das Europäische Arzneibuch (PhEur) eine große Rolle. Es limitiert die in einem Arznei- oder Hilfsstoff erlaubte Art und Menge an Verunreinigungen und beschreibt die Methoden, mit denen man deren Konzentration messen kann. Dabei werden im Wesentlichen Restlösemittel, Schwermetalle und verwandte Substanzen bestimmt.

Das PhEur wird am »European Directorate for the Quality of Medicines and HealthCare« (EDQM) erarbeitet, wobei insbesondere für neuere Arzneistoffe die Richtlinien der »International Conference on Harmonization« (ICH) bei der Erstellung einer Monographie eine Rolle spielen. Ein Hersteller von Arzneistoffen kann beim EDQM ein sogenanntes CEP beantragen, also ein »Certificate of Suitability to the Monograph of the European Pharmacopoeia«.

Die Zertifizierungsabteilung des EDQM prüft dann die eingereichten Chargen des Arzneistoffs nach den Regeln des PhEur, um festzustellen, ob der Arzneistoff der dort beschriebenen Qualität entspricht. Ist dies der Fall, wird das CEP erteilt, mit dem der Hersteller nun seine qualitätsgesicherte Ware auf dem Markt anbieten kann.

Was war bei Valsartan passiert?

Im Juli 2018 wurde Valsartan im Wesentlichen bei der chinesischen Firma Zhejiang Huahai Pharmaceutical produziert; ein zweiter Hersteller war Heterolabs India. Beide Firmen verfügten über ein gültiges CEP des EDQM, sodass eigentlich die Qualität gesichert sein sollte. Mehr durch Zufall wurde die Substanz in Spanien näher untersucht und dabei wurden die Nitrosamine gefunden. Mehr zu den akuten Folgen des »Valsartan-Skandals« für die Apothekenpraxis lesen Sie im Beitrag »Ein Jahr mit dem Valsartan-Störfall«.

Die im PhEur beschriebene Analytik war zu diesem Zeitpunkt nicht in der Lage, Nitrosamine nachzuweisen, geschweige denn zu quantifizieren. Dies liegt daran, dass Nitrosamine weder strukturell verwandt mit Sartanen sind noch in die Kategorie Restlösemittel fallen. Bei Verdacht auf eine Verunreinigung hätte die ICH-Richtlinie M7 zur »Bewertung und Überwachung von DNA-reaktiven (mutagenen) Verunreinigungen in pharmazeutischen Produkten« (1) angewendet werden müssen, aber weder die Analytiker der Herstellerfirmen noch das EDQM hatten einen Verdacht. Allerdings sei betont, dass die Synthese, auf deren Grundlage die Arzneibuchmonographie erarbeitet wurde und die Vergabe des CEP beruhte, keine Hinweise auf eine mögliche Entstehung von Nitrosaminen gab.

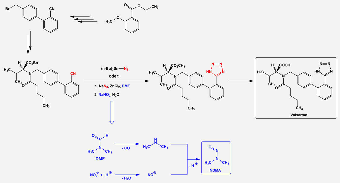
Bei der chinesischen Firma Zhejiang hatten die organischen Chemiker den Syntheseschritt zum Aufbau des Tetrazolyl-Restes optimiert, ohne die Information weiterzugeben. Statt des vorher genutzten Zinnazids wurde nun Natriumazid im Lösungsmittel Dimethylformamid (DMF) eingesetzt und der Azid-Überschuss nach abgelaufener Reaktion mit Natriumnitrit zerstört (2) (Abbildung 1). Dabei wurde nicht bedacht, dass DMF in der Hitze in Kohlenmonoxid und Dimethylamin zerfällt, eine Reaktion, die eigentlich jeder Organiker kennt und die sogar in Wikipedia nachzulesen ist (3). Das sekundäre Amin reagierte dann mit Nitrit zu N-Nitrosodimethylamin (NDMA) (Abbildung 1 unten). Und weil DMF noch andere Amine enthält, wurden in der Folge weitere Nitrosamine, unter anderem N-Nitrosodiethylamin (NDEA), in Valsartan gefunden.

Hier ist also nicht nur die Chemie schiefgelaufen. Die Behörden wurden über die Änderung der Herstellung nicht informiert, was eine grobe Missachtung der internationalen Regularien darstellt. Nach dem Nachweis von NDMA wurden allen Herstellern umgehend die CEP für alle Tetrazolyl-substituierten Sartane entzogen.

Frag die KI
Die experimentelle KI
von PZ und PTA-Forum
Die experimentelle KI
von PZ und PTA-Forum
Die experimentelle KI
von PZ und PTA-Forum
 
FAQ
BETA
Menü
Zeit
SENDEN
Wie kann man die CAR-T-Zelltherapie einfach erklären?
Warum gibt es keinen Impfstoff gegen HIV?
Was hat der BGH im Fall von AvP entschieden?
Zeit
GESAMTER ZEITRAUM
3 JAHRE
1 JAHR
Senden
SENDEN
KI
IHRE FRAGE WIRD BEARBEITET ...
KI
KI
UNSERE ANTWORT
QUELLEN
22.01.2023 – Fehlende Evidenz?
LAV Niedersachsen sieht Verbesserungsbedarf
» ... Frag die KI ist ein experimentelles Angebot der Pharmazeutischen Zeitung. Es nutzt Künstliche Intelligenz, um Fragen zu Themen der Branche zu beantworten. Die Antworten basieren auf dem Artikelarchiv der Pharmazeutischen Zeitung und des PTA-Forums. Die durch die KI generierten Antworten sind mit Links zu den Originalartikeln. ... «
Ihr Feedback
War diese Antwort für Sie hilfreich?
 
 
FEEDBACK SENDEN
FAQ
Was ist »Frag die KI«?
»Frag die KI« ist ein experimentelles Angebot der Pharmazeutischen Zeitung. Es nutzt Künstliche Intelligenz, um Fragen zu Themen der Branche zu beantworten. Die Antworten basieren auf dem Artikelarchiv der Pharmazeutischen Zeitung und des PTA-Forums. Die durch die KI generierten Antworten sind mit Links zu den Originalartikeln der Pharmazeutischen Zeitung und des PTA-Forums versehen, in denen mehr Informationen zu finden sind. Die Redaktion der Pharmazeutischen Zeitung verfolgt in ihren Artikeln das Ziel, kompetent, seriös, umfassend und zeitnah über berufspolitische und gesundheitspolitische Entwicklungen, relevante Entwicklungen in der pharmazeutischen Forschung sowie den aktuellen Stand der pharmazeutischen Praxis zu informieren.
Was sollte ich bei den Fragen beachten?
Damit die KI die besten und hilfreichsten Antworten geben kann, sollten verschiedene Tipps beachtet werden. Die Frage sollte möglichst präzise gestellt werden. Denn je genauer die Frage formuliert ist, desto zielgerichteter kann die KI antworten. Vollständige Sätze erhöhen die Wahrscheinlichkeit einer guten Antwort.
Wie nutze ich den Zeitfilter?
Damit die KI sich bei ihrer Antwort auf aktuelle Beiträge beschränkt, kann die Suche zeitlich eingegrenzt werden. Artikel, die älter als sieben Jahre sind, werden derzeit nicht berücksichtigt.
Sind die Ergebnisse der KI-Fragen durchweg korrekt?
Die KI kann nicht auf jede Frage eine Antwort liefern. Wenn die Frage ein Thema betrifft, zu dem wir keine Artikel veröffentlicht haben, wird die KI dies in ihrer Antwort entsprechend mitteilen. Es besteht zudem eine Wahrscheinlichkeit, dass die Antwort unvollständig, veraltet oder falsch sein kann. Die Redaktion der Pharmazeutischen Zeitung übernimmt keine Verantwortung für die Richtigkeit der KI-Antworten.
Werden meine Daten gespeichert oder verarbeitet?
Wir nutzen gestellte Fragen und Feedback ausschließlich zur Generierung einer Antwort innerhalb unserer Anwendung und zur Verbesserung der Qualität zukünftiger Ergebnisse. Dabei werden keine zusätzlichen personenbezogenen Daten erfasst oder gespeichert.

Mehr von Avoxa