Pharmazeutische Zeitung online Avoxa
whatsApp instagram facebook bluesky linkedin xign

Dermokosmetik
-
Phospholipide als Trendsetter

In Kosmetikprodukten sind Phospholipide als natürliche Inhaltsstoffe und wegen ihrer multifunktionalen Eigenschaften beliebt. Sie können in Suspensionen, Emulsionen, Liposomen und Mischmizellen eingesetzt werden. Phospholipide sind aber nicht nur vorteilhafte Hilfsstoffe, die die Aufnahme von Wirkstoffen in die Haut verbessern, sondern haben sehr nützliche Eigeneffekte.
AutorAlfred Fahr
AutorPeter van Hoogevest
Datum 07.04.2019  08:00 Uhr

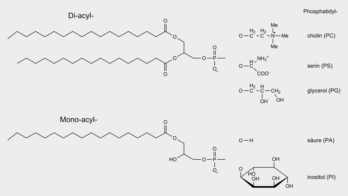
Ein Phospholipid(PL)-Molekül umfasst ein Glycerin-Grundgerüst, das in zwei Positionen mit Fettsäuren und in Position 3 mit Phosphat verestert ist.

Die resultierende Phosphatidsäure (Abbildung 1) ist mit einem weiteren Alkohol am Phosphat verestert, zum Beispiel im Phosphatidylcholin (PC) mit Cholin, im Phosphatidylethanolamin (PE) mit Ethanolamin oder im Phosphatidylglycerol (PG) mit Glycerin.

Je nach Struktur der Polarregion und pH-Wert des Mediums ist zum Beispiel PE zwitterionisch und bei pH 7 neutral, während zum Beispiel PG negativ geladen ist.

Eigenschaften

Als Amphiphile zeigen Phospholipide hohe Oberflächenaktivitäten. Die veröffentlichten HLB-Werte (Hydrophilic-Lipophilic-Balance) diverser Phospholipide zeigen ein breites Spektrum; daher können diese in unterschiedlicher Weise als Emulgatoren eingesetzt werden.

Phospholipide mit mehrfach ungesättigten Fettsäuren haben Phasenübergangstemperaturen unter 0 °C. Das bedeutet, dass sich PL-Aggregate, zum Beispiel Liposomen, bei einer Hauttemperatur von etwa 32 °C im flüssigkristallinen Zustand befinden und flexibel sind. Ungesättigte Fettsäuren können durch Hydrierung in gesättigte umgewandelt werden. Dann haben die PL-Aggregate eine Übergangstemperatur von etwa 40 bis 60 °C und sind bei Hauttemperatur in einem starren (Gel-)Zustand.

Phospholipide haben hygroskopische Eigenschaften, wobei diejenigen mit ungesättigten Fettsäuren stärker hygroskopisch sind. Sie können bis zu 12 Gewichtsprozent Wasser aufnehmen, also fünf Wassermoleküle pro Phospholipid. In Liposomen sind es sogar 20 Wassermoleküle, wodurch Liposomen als Feuchtigkeitsspender geeignet sind.

Natürliche Phospholipide für dermatologische Produkte stammen hauptsächlich aus Sojabohnen oder Sonnenblumenkernen. Sonnenblumen-PL gelten als gentechnikfrei, Soja-PL stehen in gentechnikfreier Qualität zur Verfügung, während synthetische PL selten Verwendung finden (1).

Es gibt Verwirrung über die Begriffe Lecithin und Phosphatidylcholin, kurz PC. In der amerikanischen Literatur wird »Lecithin« als Synonym für PC verwendet, während nach anerkannten Definitionen und im Handelsgebrauch Lecithin eine komplexe Mischung aus Aceton-unlöslichen polaren Lipiden, Phospholipiden, Glykolipiden und freien Zuckern neben Triglyceriden und anderen unpolaren Fettbegleitstoffen darstellt. Deshalb sollte der Begriff Lecithin nur bei Produkten mit weniger als 80 Gewichtsprozent PL verwendet werden. Für Produkte mit 80 bis 90 Prozent PL aus Soja ist die treffende Bezeichnung »Soja-Phospholipide«. Hochreine Phospholipide mit mehr als 90 Prozent Phosphatidylcholin werden als »Phosphatidylcholin« bezeichnet.

Phospholipide weisen keinerlei relevante Toxizität auf. Bei oraler Gabe hat die FDA ihnen den GRAS (Generally Recognized As Safe)-Status zugewiesen; gemäß WHO sind 4 g/Tag unbedenklich bei intravenöser Gabe (1).

Phospholipide gehören zu der Gruppe der selbstaggregierenden Amphiphilen, die in Wasser (und auch auf der Haut) dünne mono- oder oligolamellare Lamellen bilden.

Phospholipide sind je nach Art und Formulierung daher nicht nur Penetrationsförderer, sondern können auch die Barrierefunktion der Haut unterstützen. Dadurch halten sie die Haut gesund und können daher als kosmetische Wirkstoffe angesehen werden. Phospholipide sind besonders für den Einsatz in Naturkosmetikprodukten interessant, da bestimmte Qualitäten als gentechnikfreie Materialien zertifiziert und von renommierten Organisationen wie COSMOS (Cosmetics to Optimize Safety) als natürlich bewertet werden.

Besonderheiten

Ein einzigartiges Merkmal von Phosphatidylcholin im Vergleich zu anderen Emulgatoren ist, dass PC bei Hydratation stabile vesikuläre Strukturen bildet: die Liposomen. Liposomen sind aber nicht gleich Liposomen! Größe und Zusammensetzung können die Art der Hautinteraktion beeinflussen. So gibt es zum Beispiel kleine und große unilamellare sowie große multilamellare Strukturen. Kleine unilamellare Vesikel sind nicht größer als 100 nm im Durchmesser, große unilamellare Vesikel zwischen 100 und 500 nm. Im Gegensatz dazu haben große multilamellare Vesikel Durchmesser zwischen 500 und 2000 nm. Für die topische Anwendung sind kleine unilamellare Vesikel am gebräuchlichsten, da hier die Verkapselungseffizienz für wasserlösliche Verbindungen bezogen auf die Hautinteraktionsfähigkeit optimal ist.

Multilamellare Liposomen sind aufgrund ihrer Größe für eine ausreichende Hautpenetration ungünstig. Sie sind aber Lieferanten für größere lamellare Strukturen (zum Beispiel gesättigte PL in Skin Lipid Matrix®). Diese ergänzen die Hautbarriere und erzielen eine gute Hautschutzwirkung bei gestörten Lipidschichten oder Hautlipidmangel, was sonst zu trockener und irritierter Haut führen kann.

Liposomen aus ungesättigten PL sind bei Hauttemperatur im flüssigkristallinen Zustand flexibel und können so wohl tiefer in die Haut eindringen. Zusätzlich können die liposomalen Membranen durch Zusätze wie Cholate, Alkohole oder Terpene noch flexibler gemacht werden und besser mit der Haut interagieren.

Einblick in die Hautstruktur

Um die Wechselwirkung von Phospholipiden mit der Haut zu verstehen, müssen wir zunächst die Physiologie der Epidermis betrachten (Abbildung 2).

Die Epidermis ist sehr dynamisch. Alle vier Wochen wird sie bei jüngeren Menschen komplett erneuert, bei über Sechzigjährigen ist dieser Zeitraum schon doppelt so lang.

Das Stratum corneum (SC) als Hauptziel für Dermokosmetikprodukte ist die wichtigste Barriere der Epidermis – und dabei nicht dicker als ein Blatt Papier. Ohne SC würde der menschliche Körper täglich etwa 20 Liter Wasser verlieren, gegenüber 0,15 Liter mit intaktem SC. Die Struktur des SC lässt sich am besten mit dem klassischen »Ziegelstein-Mörtel-Modell« beschreiben. Die Korneozyten repräsentieren dabei die Ziegel und die interzellulären Lipide den Mörtel. Die Dicke dieser Barriere variiert zwischen 6 und 40 µm (Durchschnitt etwa 10 µm) mit etwa 10 bis 20 »Ziegelschichten«. Diese Barriere scheint Poren von bis 20 nm zu besitzen (2), was die Diskussion immer noch anregt, ob und wie flexible Liposomen intakt in das gesamte SC eindringen können.

Die Erneuerung des SC beginnt wie für die ganze Epidermis an der Grenze zwischen Epidermis und Dermis, dem Stratum basale. Diese Schicht besteht aus sich vermehrenden Basalzellen, die über Desmosomen miteinander verbunden sind. Die neuen Zellen (Keratinozyten), die sich selbst noch vier bis fünf Mal teilen können, lösen sich von der Basalmembran und wandern in das Stratum spinosum.

Von dort gelangen die Keratinozyten in das Stratum granulosum und beginnen in ihrem Zytosol Lamellenkörper (Odland-Körper) mit einer Vielzahl von Lipiden und Enzymen zu produzieren. Im Übergang zwischen Stratum granulosum und Stratum corneum werden diese Lamellenkörper ausgeschieden. Daraus bilden sich die interzelluläre Lipidmatrix und eine hydrophobe Lipidhülle für die hydrophilen Korneozyten, die so in die lipophile Lipidmatrix des SC eingebettet sind. Während der Migration an die SC-Region werden die Keratinozyten zu toten Korneozyten, wobei sie DNA, RNA und fast alle Organellen verlieren.

Das Stratum compactum ist wegen der gut zusammenhaltenden Korneosomen der dichteste Teil des SC. Die Korneosomen werden nahe der Hautoberfläche hydrolysiert, um die Abschuppung zu ermöglichen.

Der pH an der Hautoberfläche ist geschlechtsspezifisch: für Männer 4,5 ± 0,2 und für Frauen 5,3 ± 0,5. Nach Entfernung des SC, zum Beispiel mittels Schmirgelpapier, steigt der pH-Wert der Haut bei nun freiliegender Epidermis auf 6,9 ± 0,4 bei Männern und 6,8 ± 0,5 bei Frauen. Das ist eine pH-Änderung von etwa zwei Einheiten über eine Distanz von etwa 10 µm!

Bedeutung der Hautlipide

Intrinsische Lipide des Stratum corneum haben eine entscheidende Rolle bei der Aufrechterhaltung der Barrierefunktion. Die interzelluläre Lipidzusammensetzung des SC besteht aus etwa 50 Prozent Ceramiden, 25 Prozent Cholesterol, 10 Prozent Fettsäuren, Cholesterolsulfat und Estern (3). Die Lipide bilden im SC Doppelschichten mit einer Dicke von 4 bis 5 nm. Ceramide mit einer C36-Seitenkette tauchen in diese umliegenden Doppelschichten ein und stabilisieren sie dadurch. Das SC ist keine homogene Matrix, sondern sehr heterogen und enthält neben Lipidschichten und Korneozyten eine Vielzahl an Substanzen.

Man sieht bei der Umwandlung von Keratinozyten in Korneozyten und während der Migration zur Hautoberfläche eine enorme Lipidstoffwechselaktivität. So hat zum Beispiel die sekretorische Phospholipase A2 (sPLA2), die Fettsäuren von Phospholipiden abspaltet, in der Epidermis eine nicht zu unterschätzende Aktivität (4). Alleine durch diese Aktivität nimmt der prozentuale Anteil der PL an den Lipiden von der Basalschicht (etwa 50 Prozent) bis zum Stratum corneum (unter 5 Prozent) dramatisch ab; dafür steigt der Fettsäuregehalt deutlich an. Die Fettsäuren verbessern die Barriere-Eigenschaften des SC und säuern dessen oberen Bereich an.

Bei gestörter sPLA2-Funktion werden deutlich weniger Fettsäuren produziert; dies beeinflusst die Barrierefunktion und verursacht eine epidermale Hyperplasie. Dieser Defekt kann durch Zufuhr von freien oder veresterten Fettsäuren ausgeglichen werden.

Formulierungsaspekte

Diacyl-Phospholipide gelten als sehr milde Reinigungsmittel und gute Emulgatoren (5, 6). Allerdings entstehen nach der Hydratation von Phosphatidylcholin lamellare Strukturen oder Liposomen; PL emulgieren deshalb spontan kein Öl. Es wird ein Energieeintrag benötigt, um die PL-Moleküle zur Anordnung an der Öl-Wasser-Grenzfläche zu zwingen. Durch Rühren, zum Beispiel mit einem Rotor-Stator-Mischer, können jedoch sehr stabile Cremes (O/W, W/O-Emulsionen) hergestellt werden.

Monoacyl-PL (»Lysophospholipide«) bilden nach der Dispersion in Wasser Mizellen. Sie zählen zu den Detergenzien und benötigen weniger Energieeintrag für die Herstellung von O/W-Emulsionen. Interessanterweise bildet die Zugabe von 40 Prozent Diacyl-PL zu Monoacyl-PL bei der Hydratation gemischte Mizellen, die fast keine Detergens-Eigenschaften mehr besitzen.

Hoch konzentrierte Lösungen von Polyolen wie Glycerin oder Sorbit mit Phospholipiden können eine große Menge an Lipiden (Ölen) dispergieren. Dabei entstehen Emulsionen von klarer, honigartiger Konsistenz mit Teilchengrößen kleiner 100 nm, die eine gute Hautpenetration zeigen (Beispiel PhytoSolve® Grundlage). Darin kann eine Vielzahl von lipophilen Wirkstoffen eingearbeitet werden: Pflanzenöle, ätherische Öle, Mineralöle, Vitamine, Ceramide, öllösliche UV-Filter und pharmazeutische Wirkstoffe. Hierbei können auch Mischmizellen entstehen.

Kurz gesagt: Phospholipide können ganz verschiedene Öle sehr gut emulgieren. Die Kombination von gesättigten Diacyl-PL und (un-)gesättigten Monoacyl-PL eignet sich hervorragend, um O/W-Emulsionen aus einem breiten Spektrum von Ölen herzustellen. Diacyl-PL werden dabei bevorzugt, da sie die Haut schützen und ein angenehmes, nicht fettiges Hautgefühl hinterlassen. Dies gilt besonders für die hydrierten Phospholipide.

Reine Mischungen von Öl(en) mit hohen PC-Konzentrationen eignen sich insbesondere für die Solubilisierung von lipophilen Wirkstoffen und Extrakten für dermatologische Anwendungen (7). Die flüssigen öligen Formulierungen können direkt in Emulsionen, das heißt Cremes und Lotionen, eingearbeitet werden (Beispiel PHOSAL®).

Zudem sind PL aufgrund ihrer amphiphilen Eigenschaften ausgezeichnete Netzmittel zur Dispersion lipophiler Verbindungen, zum Beispiel von Farbpigmenten, in hydrophilen Medien (8).

Phosphatidylcholin in Feuchtigkeitscremes

Aufgrund ihrer hygroskopischen Eigenschaften wirken die in die Haut eindringenden PL als Feuchtigkeitsspender und hydratisieren die Haut. Weiterhin wird PC in der Haut durch enzymatische Reaktionen zu Substanzen abgebaut, die den osmotischen Druck erhöhen und daher die Wasseraufnahme der Haut steigern.

Der positive Einfluss der PC-Konzentration auf die Hautfeuchtigkeit wurde mittels Formulierungen getestet, die eine 10-gewichtsprozentige Liposomendispersion aus PL mit unterschiedlichem PC-Gehalt (10, 28 und 80 Prozent) enthielten (9). Die Ergebnisse zeigen deutlich, dass bei höherem PC-Gehalt in der Formulierung die Hautfeuchtigkeit signifikant zunimmt, bei sehr geringem aber sogar abnimmt (Abbildung 3).

Einfluss auf die Hautrauigkeit: Eine wässrige Soja-PC-Liposomendispersion aus 20,6 Prozent (Gew./Vol.) Sojabohnen-PC (mit 93 Prozent PC) und circa 16 Prozent Ethanol wurde mit einer O/W-Emulsion nach mehrfacher Anwendung verglichen (10). Die Hautrauigkeit wurde bei den Probanden der Liposomen-Gruppe signifikant reduziert.

Wirkung auf die Hautbarriere: Topische Formulierungen, die aus gesättigtem Soja-PC bestehen, haben eine Hautschutzfunktion. Sie regenerieren und stabilisieren die Barriereschichten der Haut. Die Messung des transepidermalen Wasserverlusts (TEWL) zeigte, dass Formulierungen mit hydriertem (gesättigtem) Soja-PC den ursprünglichen TEWL-Wert der Haut wiederherstellen (Tabelle). Diese und andere positive Effekte von gesättigtem Soja-PC erklären sich auch durch die großen Lamellen in den Formulierungen, die Hautschichten nachahmen und sich nahtlos in die Hautbarriere integrieren können (zum Beispiel gesättigte PL in Skin Lipid Matrix®). Diese ergänzen damit die Hautbarriere und erzielen eine Hautschutzwirkung bei gestörten Lipidschichten oder Hautlipidmangel; diese Effekte können die Hautregeneration stimulieren (11).

Die Anwendung von gesättigtem Soja-PC führt zu einem angenehmen und weichen Hautgefühl. Daher werden diese PL in einigen Produkten zur Hautpflege von Neurodermitis-Patienten eingesetzt.

PL bei Hauterkrankungen

Phospholipide können auch, zum Beispiel in liposomaler Form, als kosmetische Wirkstoffe betrachtet werden. Im Allgemeinen gelten Liposomen seit ihrer Einführung auf dem Kosmetikmarkt (1987, Capture® von Dior) als der klassische Standard für ein Anti-Aging-Produkt.

Soja-PC ist reich an Linol- und Linolensäure. Durch die metabolische Aktivität in der Haut können diese Fettsäuren in Ceramide eingebaut werden, die so die natürliche Hautbarriere stärken, wenn diese Fettsäuren – typisch für Altershaut – vermindert sind. Die positiven unterstützenden Auswirkungen von Soja-PC in der Behandlung von Akne vulgaris und Neurodermitis wurden in zahlreichen Beiträgen beschrieben. Linolsäure kann auch durch metabolische Aktivität in der Haut in Omega-3-Fettsäuren und Eicosapentaensäure umgewandelt werden.

Wie in Zellkulturen nachgewiesen, kann Soja-PC die Sekretion von TNF-α unterdrücken und so entzündungshemmend wirken. Soja-PC verstärkt auch die Sekretion von Hyaluronsäure in der Haut (12).

Neben Phosphatidylcholin zeigen auch andere Phospholipide positive Effekte. Phosphatidsäure stimuliert das Haarwachstum (13). Phosphatidylinositol dient als Inhibitor der vaskulären Endothelzellproliferation und kann Hautreizungen unterdrücken (12). Phosphatidylserin stimuliert die Differenzierung von Keratinozyten, was die Hautbarriere verbessern kann (14).

Transport in das

Zur Erhöhung des Transports von Wirkstoffen in die Haut sind Liposomen oder O/W-Emulsionen mit ungesättigten PL die erste Wahl.

Dies konnte mit Liposomen, deren ungesättigte PL mit rotem Fluoreszenzfarbstoff markiert wurden, in einem Hautpenetrationsexperiment nachgewiesen werden (Abbildung 4).

Das markierte Phospholipid wie auch der liposomal verkapselte grüne Farbstoff Carboxyfluorescein diffundieren bis weit in die Epidermis hinein (obere Reihe). Bei dem aus gesättigten PL bestehenden Liposomen verbleiben beide Marker außen (unten). Erstaunlich ist, dass dieser Befund bei nicht-okklusiver Applikation höher ist als bei okklusiver Applikation (15). Eine Erklärung geht davon aus, dass bei abtrocknender Hautoberfläche die Liposomen von der wasserhaltigen Epidermis osmotisch angezogen werden (16).

Nach allgemeiner Meinung können intakte Liposomen nicht oder nur in sehr geringem Ausmaß durch das SC diffundieren. Die Diffusion von Liposomen in die ersten Korneozytenschichten führt zu einer intensiven Interaktion der liposomalen PL mit den SC-Lipiden. Dabei zerfallen die daran beteiligten Liposomen, was das SC an dieser Stelle fluider und durchlässiger macht (17). Die nachfolgenden Liposomen und Wirkstoffe können so ein Stückchen weiter diffundieren und der Prozess beginnt von Neuem unter jeweiliger »Aufopferung« der Liposomen. In den tieferen Schichten des SC finden sich daher nur noch vereinzelte intakte Liposomen (17), wobei kleinere Vesikel aus dieser Sicht effektiver als größere sind (18). Ebenso können auch lipophile Wirkstoffe mitwandern, da sich diese in die Liposomenmembran integrieren können (19).

Eine liposomale Verkapselung von UV-Absorbern erhöht deren Badewasserbeständigkeit, da sie sich durch die Fluidisierung der Hautlipidmatrix besser in die oberen Schichten des SC einlagern können (20). Ähnliche Effekte konnten auch bei TiO2-Sonnenschutzpartikeln in Liposomen (im Vergleich zu Mischmizellen) beobachtet werden (21).

Verschiedene Wirkstoffe können mittels flexibler Liposomen entlang der Haarwurzel bis zur Haarpapille diffundieren. Eine aktuelle Studie zeigt, dass eine Massage des Hautbezirks nach dem Auftragen die follikuläre Penetration erhöht (22). Phospholipide können auch direkt auf die Haare mittels Shampoos und Haarspülungen wirken, meist durch Emulgatorwirkung (23). Dies kann sich auf das Erscheinungsbild der Haare wie Schuppen, Haarspliss, glanzloses und fettendes Haar positiv auswirken. Außerdem verbessert sich die Kämmbarkeit und die elektrostatische Aufladung wird verringert.

Wie tief dringen Phospholipide ein?

Phospholipide werden in kosmetischen Formulierungen in Form von Emulsionen, lamellaren Strukturen oder Liposomen verwendet. Beim Auftragen auf die Haut fallen die penetrierenden Liposomen- oder Emulsionspartikel allmählich auseinander, geben ihren Inhalt frei und verteilen die PL gleichzeitig in den umgebenden Hautschichten. Dieser Verteilungsprozess kann mit einem metabolischen Abbau der PL einhergehen. Die den Nanosystemen ähnlichen Strukturen stellen daher keinerlei systemisches Risiko dar; zudem sind Phospholipide körpereigene Substanzen und können einfach verstoffwechselt werden.

Die Abbildung 5 zeigt schematisch die verschiedenen Mechanismen der Interaktion von Wirkstoffen mit dem SC ohne Trägersystem (A) und mit Trägersystem, das entweder gesättigte (B) oder ungesättigte Phospholipide (C bis E) enthält.

Die Träger können zum Beispiel Liposomen, Lamellen oder Emulsionspartikel sein. In der Abbildung sind die relativen Eindringtiefen von Wirkstoffen und PL der drei Auftrageoptionen (als freier Wirkstoff, Wirkstoff mit gesättigten PL, Wirkstoff mit ungesättigten PL) veranschaulicht. Die Pfeile stellen einen Konzentrationsgradienten dar, der in den unteren Schichten des Stratum corneum und der Epidermis endet. In der Praxis können Wirkstoffe umso tiefer in die Haut eindringen, je niedriger ihr Molekulargewicht und je höher ihre Lipophilie sind.

Der Inhaltsstoff alleine kann nur geringfügig in das SC penetrieren (Abbildung 5 A, schwarze Punkte). Wird die Substanz gemeinsam mit einem Träger aus gesättigten PL verabreicht, so werden die PL in die oberen Schichten des SC in Form von Lamellen eingebettet, wodurch die Barrierefunktion des SC sogar erhöht oder wiederhergestellt wird; der Inhaltstoff hat eine längere Verweildauer auf der Oberfläche (in Abbildung 5 B durch die diffuse gelbe Farbe dargestellt). Abhängig von den Eigenschaften der Wirkstoffe werden diese langsam aus den Lamellen freigesetzt und können je nach Beschaffenheit weiter diffundieren. Wie sehr ungesättigte Phospholipide (Abbildung 5 C bis E) zur gesamten Hautinteraktion beitragen, hängt von Wirkstoff und Formulierung ab. So wird vermutet, dass ungesättigte PL gute Penetrationsverstärker sind (Abbildung 5 C), aber auch mit den oberen Schichten des SC fusionieren können. Penetration intakter Liposomen in die tieferen Schichten des SC ist nur in geringstem Maß nachweisbar.

Die Eigenschaften von ungesättigtem und gesättigtem Soja-PC, deren multifunktionale Aspekte sowie relevante Parameter für die Herstellung von kosmetischen Formulierungen sind in der Tabelle zusammengefasst (12). Diese Übersicht kann die Auswahl des bestmöglichen Phospholipids für Formulierungsarbeiten erleichtern, wenn man gewünschte Eigenschaften erzielen will.

Parameter Soja-PC Gesättigtes (hydriertes) Soja-PC
Fettsäuren-Zusammensetzung ungesättigte Fettsäuren, Linol-, Linolen- und Ölsäure gesättigte Fettsäuren, Stearin- und Palmitinsäure
Phasenübergangs- Temperatur (°C) unter 0 40 bis 60
Struktur bei Hauttemperatur flexibel starr
Struktur nach Hydratation Liposomen und Lamellen Liposomen und Lamellen
Eigenschaften von Phospholipiden
Emulgator für O/W-Emulsionen für O/W-Emulsionen, stabiler als ungesättigtes Soja-PC, gutes Hautgefühl, gebrochenes weiß/weiß
Dispersions- und Solubilisierungsmittel für hydrophile, amphiphile und lipophile Wirkstoffe für hydrophile, amphiphile und lipophile Wirkstoffe
Verwendung in der Dermokosmetik
Hautinteraktion nicht zur Verbesserung der Hautbarriere stabilisiert die Barrierenfunktion, Konditionierung des Stratum corneum
Einfluss auf die Hautbarriere ja, erhöht aber leicht den TEWL ja, stabilisiert den Normalwert des TEWL
liefert Linol- und Linolensäure ja, positive Wirkung von PL mit Omega-3- und Omega-6-Fettsäuren bei Akne vulgaris, Psoriasis, Neurodermitis, stimuliert in vitro die Ausscheidung von Hyaluronsäure nein
Transport
Auswirkung auf die Transportfunktion Penetrationsverbesserung, Konditionierung des Stratum corneum, PL dringen in das Stratum corneum und in geringem Umfang die lebensfähige Epidermis ein dringt nur in das Stratum corneum und nicht tiefer ein
Tabelle: Relevante Merkmale von Soja-Phosphatidylcholin (PC) und gesättigtem Soja-PC für Kosmetikprodukte. TEWL: Transepidermaler Wasserverlust; PL: Phospholipid

Ausblick

Phospholipide werden seit Jahrzehnten als Inhaltsstoffe in Kosmetikprodukten eingesetzt. Anfangs stand ihre Verwendung als Emulgatoren im Vordergrund. Das Interesse an Phospholipiden wurde durch die Einführung von Liposomen in die Kosmetik im Jahr 1987 gesteigert. Gleichzeitig wurden Phospholipide als kosmetische und biochemische Wirkstoffe etabliert. Aktuell wird – neben Soja-Phospholipiden – die Verwendung von Sonnenblumen-PL mit jeweils ungesättigten und gesättigten PC immer beliebter.

Trotz des jahrzehntelangen Einsatzes gibt es immer noch Fragen. So ist beispielsweise das Wissen über die Hautstoffwechselmechanismen (Anabolismus und Katabolismus) von endogenen und extern applizierten Phospholipiden sehr begrenzt. Außerdem sollte die Hautinteraktion von PL-stabilisierten Emulsionen im Vergleich mit Liposomen intensiver untersucht werden.

Die Verfügbarkeit dieser Naturstoffe mit kontrollierter Qualität in verschiedenen Reinheitsstufen und Modifikationen bietet auch dem Apotheker einen wertvollen Werkzeugkasten für die Entwicklung optimaler kosmetischer Formulierungen. /

Frag die KI
Die experimentelle KI
von PZ und PTA-Forum
Die experimentelle KI
von PZ und PTA-Forum
Die experimentelle KI
von PZ und PTA-Forum
 
FAQ
BETA
Menü
Zeit
SENDEN
Wie kann man die CAR-T-Zelltherapie einfach erklären?
Warum gibt es keinen Impfstoff gegen HIV?
Was hat der BGH im Fall von AvP entschieden?
Zeit
GESAMTER ZEITRAUM
3 JAHRE
1 JAHR
Senden
SENDEN
KI
IHRE FRAGE WIRD BEARBEITET ...
KI
KI
UNSERE ANTWORT
QUELLEN
22.01.2023 – Fehlende Evidenz?
LAV Niedersachsen sieht Verbesserungsbedarf
» ... Frag die KI ist ein experimentelles Angebot der Pharmazeutischen Zeitung. Es nutzt Künstliche Intelligenz, um Fragen zu Themen der Branche zu beantworten. Die Antworten basieren auf dem Artikelarchiv der Pharmazeutischen Zeitung und des PTA-Forums. Die durch die KI generierten Antworten sind mit Links zu den Originalartikeln. ... «
Ihr Feedback
War diese Antwort für Sie hilfreich?
 
 
FEEDBACK SENDEN
FAQ
Was ist »Frag die KI«?
»Frag die KI« ist ein experimentelles Angebot der Pharmazeutischen Zeitung. Es nutzt Künstliche Intelligenz, um Fragen zu Themen der Branche zu beantworten. Die Antworten basieren auf dem Artikelarchiv der Pharmazeutischen Zeitung und des PTA-Forums. Die durch die KI generierten Antworten sind mit Links zu den Originalartikeln der Pharmazeutischen Zeitung und des PTA-Forums versehen, in denen mehr Informationen zu finden sind. Die Redaktion der Pharmazeutischen Zeitung verfolgt in ihren Artikeln das Ziel, kompetent, seriös, umfassend und zeitnah über berufspolitische und gesundheitspolitische Entwicklungen, relevante Entwicklungen in der pharmazeutischen Forschung sowie den aktuellen Stand der pharmazeutischen Praxis zu informieren.
Was sollte ich bei den Fragen beachten?
Damit die KI die besten und hilfreichsten Antworten geben kann, sollten verschiedene Tipps beachtet werden. Die Frage sollte möglichst präzise gestellt werden. Denn je genauer die Frage formuliert ist, desto zielgerichteter kann die KI antworten. Vollständige Sätze erhöhen die Wahrscheinlichkeit einer guten Antwort.
Wie nutze ich den Zeitfilter?
Damit die KI sich bei ihrer Antwort auf aktuelle Beiträge beschränkt, kann die Suche zeitlich eingegrenzt werden. Artikel, die älter als sieben Jahre sind, werden derzeit nicht berücksichtigt.
Sind die Ergebnisse der KI-Fragen durchweg korrekt?
Die KI kann nicht auf jede Frage eine Antwort liefern. Wenn die Frage ein Thema betrifft, zu dem wir keine Artikel veröffentlicht haben, wird die KI dies in ihrer Antwort entsprechend mitteilen. Es besteht zudem eine Wahrscheinlichkeit, dass die Antwort unvollständig, veraltet oder falsch sein kann. Die Redaktion der Pharmazeutischen Zeitung übernimmt keine Verantwortung für die Richtigkeit der KI-Antworten.
Werden meine Daten gespeichert oder verarbeitet?
Wir nutzen gestellte Fragen und Feedback ausschließlich zur Generierung einer Antwort innerhalb unserer Anwendung und zur Verbesserung der Qualität zukünftiger Ergebnisse. Dabei werden keine zusätzlichen personenbezogenen Daten erfasst oder gespeichert.

Mehr von Avoxa