Pharmazeutische Zeitung online Avoxa
whatsApp instagram facebook bluesky linkedin xign

Häufige Arzneistoffe
-
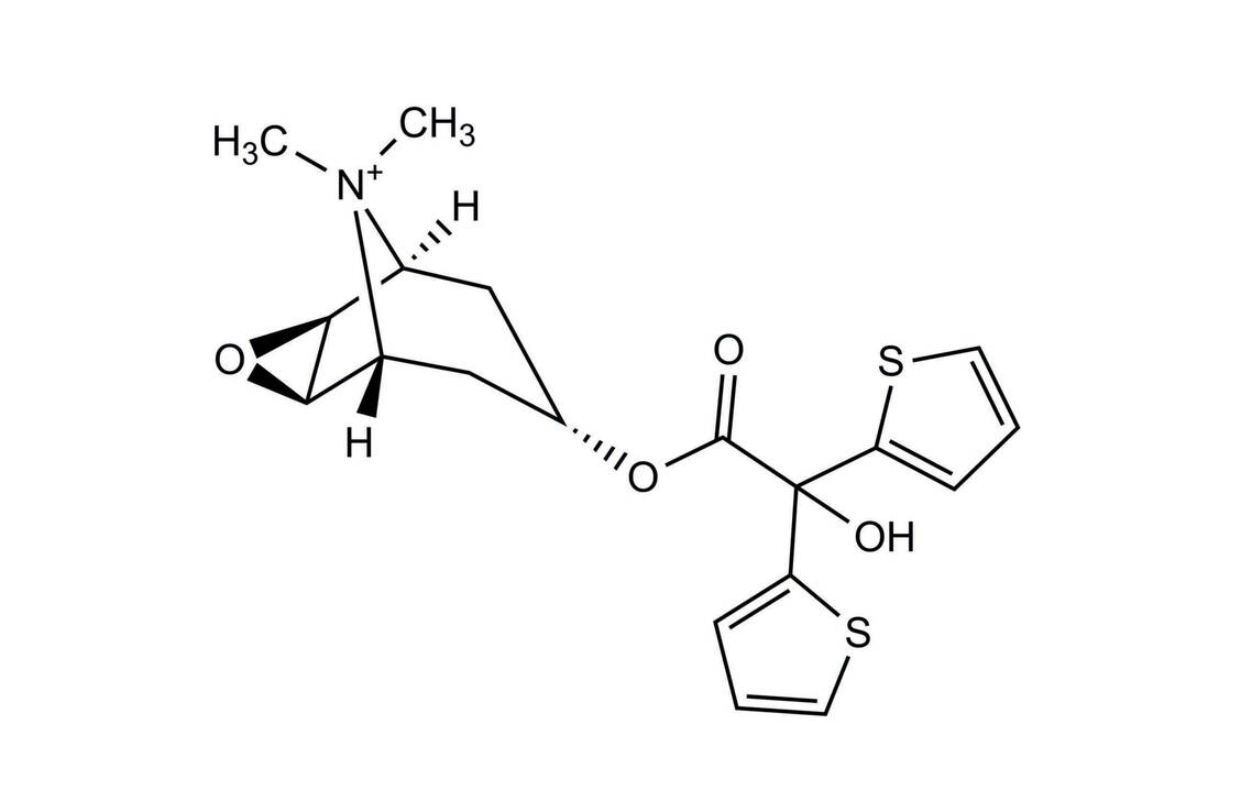
Steckbrief Tiotropium

Als langwirksames Anticholinergikum (LAMA) wird der Bronchodilatator Tiotropium vor allem bei chronisch-obstruktiver Lungenerkrankung (COPD) eingesetzt. Daneben gibt es eine Empfehlung bei besonders schwerem Asthma.
AutorKontaktAnnette Rößler
Datum 19.10.2022  07:00 Uhr

Wie wirkt Tiotropium?

Tiotropium ist ein Antagonist an muskarinischen Acetylcholinrezeptoren mit ähnlicher Affinität zu den Rezeptorsubtypen M1 bis M5. Die Blockade von M3-Rezeptoren durch Tiotropium in den Bronchien bewirkt eine Weitstellung der Atemwege. Vom M3-Rezeptor löst sich Tiotropium deutlich langsamer als die Vorgängersubstanz Ipratropium und muss daher seltener, nämlich nur einmal täglich angewendet werden. Das quartäre Ammoniumsalz wird in Form seines Bromids eingesetzt. Aufgrund seiner Ladung wird Tiotropium nach inhalativer Anwendung kaum resorbiert und wirkt ganz überwiegend topisch.

Was ist das Einsatzgebiet von Tiotropium?

Hauptindikation von Tiotropium ist die chronisch-obstruktive Lungenerkrankung (COPD). Die Gabe von langwirksamen Anticholinergika (LAMA), zu denen neben Tiotropium auch Aclidinium, Glycopyrronium und Umeclidinium zählen, gehört laut Nationaler Versorgungsleitlinie (NVL) in allen Krankheitsphasen der COPD zur Basistherapie und soll Exazerbationen verhindern. Bei Asthma, wo vor allem die entzündungshemmende Therapie im Vordergrund steht, werden LAMA im Stufenschema der entsprechenden NVL erst ab Stufe 3 genannt. Nicht alle Tiotropium-haltigen Präparate sind auch bei Asthma zugelassen.

Wie wird Tiotropium angewendet und dosiert?

Zur Anwendung von Tiotropium stehen verschiedene Inhalatoren zur Verfügung, zum Beispiel Handihaler®, Zonda® oder Respimat®. Sie sind jeweils zum Gebrauch mit den passenden Kapseln oder Patronen bestimmt. Bei der Verwendung von Inhalations-Kapseln beträgt die übliche Tagesdosis bei COPD 10 µg Tiotropium; bei der Verwendung einer Patrone sind sowohl bei COPD als auch bei Asthma 5 µg Tiotropium täglich empfohlen. Deklariert ist in der Regel aber nicht der reine Wirkstoff, sondern das Bromidsalz. Die Anwendung erfolgt einmal täglich möglichst immer zur selben Zeit.

Welche Nebenwirkungen kann Tiotropium haben?

Mundtrockenheit ist die häufigste unerwünschte Arzneimittelwirkung von Tiotropium. Deutlich seltener sind auch andere, schwerwiegendere anticholinerge Effekte wie Glaukom, Verstopfung oder Harnverhalt möglich. Da die LAMA bei inhalativer Anwendung kaum resorbiert werden, werden sie bei der Berechnung der sogenannten anticholinergen Last eines Patienten aber nicht mitgezählt und stehen auch nicht auf der Priscus-Liste der potenziell inadäquaten Medikamente für ältere Menschen.

Einige Studien ergaben Hinweise auf ein erhöhtes Risiko für kardiovaskuläre Ereignisse wie Herzinfarkt oder Schlaganfall unter LAMA-Anwendung. Die Datenlage ist aber nicht eindeutig. Zuletzt wurde in einem systematischen Review mit Metaanalyse im »Journal of Investigative Medicine« keine Risikoerhöhung nachgewiesen (DOI: 10.1136/jim-2021-001931).

Darf Tiotropium in Schwangerschaft und Stillzeit angewendet werden?

Da kaum Frauen im gebärfähigen Alter an COPD erkranken und die Anwendung von Tiotropium bei Asthma nur selten erfolgt, stellt sich die Frage nach der Anwendbarkeit bei schwangeren oder stillenden Frauen bei diesem Arzneistoff nur selten. Laut Fachinformation ist die Gabe in der Schwangerschaft vorsichtshalber zu vermeiden und wird bei Stillenden nicht empfohlen.

Embryotox.de, die Website des Pharmakovigilanz- und Beratungszentrums für Embryonaltoxikologie der Berliner Charité, enthält keinen eigenen Eintrag zu Tiotropium. Bei den allgemeinen Informationen zur Asthmatherapie findet sich dort aber der Hinweis, dass unter den inhalativen Anticholinergika Ipratropium in der Schwangerschaft das Mittel der Wahl ist.

Welche Wechselwirkungen sind möglich?

Tiotropium darf nicht zusammen mit anderen inhalativen Anticholinergika gegeben werden. Ansonsten gibt es keine klinisch relevanten Wechselwirkungen zu beachten.

Vom Inhalativum zum Antihydrotikum?

Das anticholinerge Wirkprinzip der LAMA ist auch auf andere Bereiche anwendbar: Seit dem 1. August ist mit Axhidrox® eine neue Creme gegen übermäßige Achselschweißbildung verfügbar. Sie enthält das LAMA Glycopyrronium und wird vom Pharmaunternehmen Dr. Wolff in Verkehr gebracht.

Frag die KI
Die experimentelle KI
von PZ und PTA-Forum
Die experimentelle KI
von PZ und PTA-Forum
Die experimentelle KI
von PZ und PTA-Forum
 
FAQ
BETA
Menü
Zeit
SENDEN
Wie kann man die CAR-T-Zelltherapie einfach erklären?
Warum gibt es keinen Impfstoff gegen HIV?
Was hat der BGH im Fall von AvP entschieden?
Zeit
GESAMTER ZEITRAUM
3 JAHRE
1 JAHR
Senden
SENDEN
KI
IHRE FRAGE WIRD BEARBEITET ...
KI
KI
UNSERE ANTWORT
QUELLEN
22.01.2023 – Fehlende Evidenz?
LAV Niedersachsen sieht Verbesserungsbedarf
» ... Frag die KI ist ein experimentelles Angebot der Pharmazeutischen Zeitung. Es nutzt Künstliche Intelligenz, um Fragen zu Themen der Branche zu beantworten. Die Antworten basieren auf dem Artikelarchiv der Pharmazeutischen Zeitung und des PTA-Forums. Die durch die KI generierten Antworten sind mit Links zu den Originalartikeln. ... «
Ihr Feedback
War diese Antwort für Sie hilfreich?
 
 
FEEDBACK SENDEN
FAQ
Was ist »Frag die KI«?
»Frag die KI« ist ein experimentelles Angebot der Pharmazeutischen Zeitung. Es nutzt Künstliche Intelligenz, um Fragen zu Themen der Branche zu beantworten. Die Antworten basieren auf dem Artikelarchiv der Pharmazeutischen Zeitung und des PTA-Forums. Die durch die KI generierten Antworten sind mit Links zu den Originalartikeln der Pharmazeutischen Zeitung und des PTA-Forums versehen, in denen mehr Informationen zu finden sind. Die Redaktion der Pharmazeutischen Zeitung verfolgt in ihren Artikeln das Ziel, kompetent, seriös, umfassend und zeitnah über berufspolitische und gesundheitspolitische Entwicklungen, relevante Entwicklungen in der pharmazeutischen Forschung sowie den aktuellen Stand der pharmazeutischen Praxis zu informieren.
Was sollte ich bei den Fragen beachten?
Damit die KI die besten und hilfreichsten Antworten geben kann, sollten verschiedene Tipps beachtet werden. Die Frage sollte möglichst präzise gestellt werden. Denn je genauer die Frage formuliert ist, desto zielgerichteter kann die KI antworten. Vollständige Sätze erhöhen die Wahrscheinlichkeit einer guten Antwort.
Wie nutze ich den Zeitfilter?
Damit die KI sich bei ihrer Antwort auf aktuelle Beiträge beschränkt, kann die Suche zeitlich eingegrenzt werden. Artikel, die älter als sieben Jahre sind, werden derzeit nicht berücksichtigt.
Sind die Ergebnisse der KI-Fragen durchweg korrekt?
Die KI kann nicht auf jede Frage eine Antwort liefern. Wenn die Frage ein Thema betrifft, zu dem wir keine Artikel veröffentlicht haben, wird die KI dies in ihrer Antwort entsprechend mitteilen. Es besteht zudem eine Wahrscheinlichkeit, dass die Antwort unvollständig, veraltet oder falsch sein kann. Die Redaktion der Pharmazeutischen Zeitung übernimmt keine Verantwortung für die Richtigkeit der KI-Antworten.
Werden meine Daten gespeichert oder verarbeitet?
Wir nutzen gestellte Fragen und Feedback ausschließlich zur Generierung einer Antwort innerhalb unserer Anwendung und zur Verbesserung der Qualität zukünftiger Ergebnisse. Dabei werden keine zusätzlichen personenbezogenen Daten erfasst oder gespeichert.

Mehr von Avoxa