Pharmazeutische Zeitung online Avoxa
whatsApp instagram facebook bluesky linkedin xign

Häufige Arzneistoffe
-
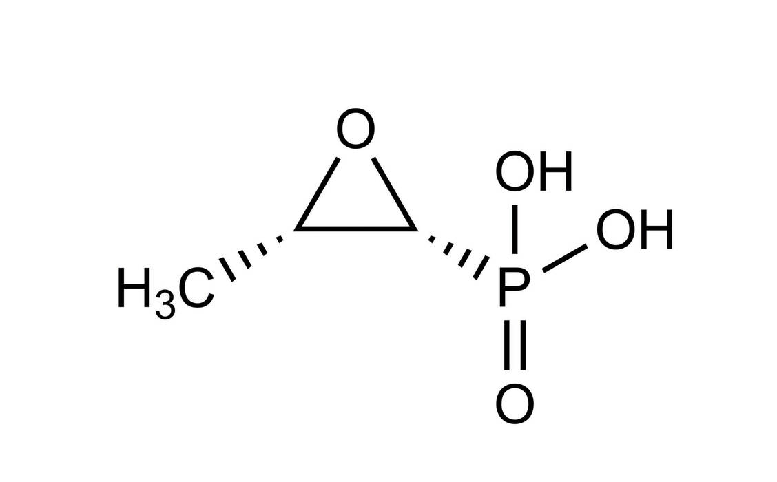
Steckbrief Fosfomycin

Infektiologen sehen es vermutlich mit Sorge, dass Fosfomycin relativ oft verordnet wird. Denn der Wirkstoff zählt, intravenös verabreicht, zu den Reserveantibiotika. Als orale Einzeldosis wird Fosfomycin aber auch in der häufigen Indikation unkomplizierte Harnwegsinfektion eingesetzt.
AutorKontaktAnnette Rößler
Datum 27.07.2022  18:00 Uhr

Wie wirkt Fosfomycin?

Als einziges Epoxid-Antibiotikum unterscheidet sich Fosfomycin sowohl strukturell als auch bezüglich seines Wirkmechanismus von allen anderen Antibiotika. Es hemmt irreversibel das Enzym MurA, das für die bakterielle Zellwandsynthese essenziell ist, und wirkt so bakterizid. Das Wirkspektrum umfasst neben gramnegativen Bakterien auch grampositive Erreger wie Staphylokokken und Streptokokken.

Was sind die Einsatzgebiete von Fosfomycin?

Als kleines Molekül ist Fosfomycin gut gewebe- und ZNS-gängig und penetriert auch gut in Knochen. Es wird intravenös als Reserveantibiotikum angewendet etwa bei Infektionen innerer Organe, Knochen oder Gelenke sowie bei komplizierten Infektionen des Bauchraums, der Harnwege, der Haut oder des Weichteilgewebes.

Oral wird Fosfomycin in Form seines Trometamol-Salzes gegeben, und zwar zur Behandlung von unkomplizierten Blasenentzündungen bei Patienten ab zwölf Jahren. Da Blasenentzündungen bei Männern per se immer als kompliziert gelten, ist die Anwendung in dieser Indikation auf Frauen beschränkt. Bei Männern kann Fosfomycin oral prophylaktisch vor einer transrektalen Prostatabiopsie gegeben werden, allerdings stellt dies in Deutschland einen Off-Label-Einsatz dar.

Wie wird Fosfomycin dosiert?

Bei intravenöser Gabe richten sich die Tagesdosis und die Dauer der Behandlung nach der Indikation, dem Schweregrad und dem Ort der Infektion sowie der Nierenfunktion. Bei Kindern sind außerdem Alter und Körpergewicht zu berücksichtigen.

Zur oralen Anwendung bei Blasenentzündung sind Granulate zur Herstellung einer Lösung zum Einnehmen im Handel. Sie enthalten 3 g Fosfomycin (entsprechend 5,631 g Fosfomycin-Trometamol) und werden als Einzeldosis angewendet. Die Einnahme sollte auf leeren Magen (jeweils etwa zwei bis drei Stunden vor oder nach einer Mahlzeit) erfolgen, vorzugsweise vor dem Zubettgehen und nach dem Entleeren der Harnblase.

Welche Nebenwirkungen sind möglich?

Nach oraler Gabe von Fosfomycin sind gastrointestinale Beschwerden wie Durchfall, Übelkeit, Dyspepsie und Bauchschmerzen, aber auch Vulvovaginitis, Kopfschmerzen und Schwindel häufige unerwünschte Wirkungen. Bei intravenöser Anwendung kommt es darüber hinaus häufig zu erythematösem Ausschlag, Elektrolytungleichgewichten (wegen der hohen Natriummenge in der Infusion), Reaktionen an der Injektionsstelle und Geschmacksstörungen. Allergische Reaktionen bis hin zur Anaphylaxie sind möglich, aber selten.

Welche Wechselwirkungen kann Fosfomycin haben?

Die gleichzeitige Anwendung von oral verabreichtem Fosfomycin und Metoclopramid (beziehungsweise anderen Prokinetika) kann zu niedrigeren Fosfomycin-Konzentrationen in Serum und Harn führen und sollte daher vermieden werden. Bei gleichzeitiger Anwendung mit oralen Antikoagulanzien ist erhöhte Vorsicht geboten.

Können Schwangere und Stillende Fosfomycin anwenden?

Laut Fachinformation sollte Fosfomycin in der Schwangerschaft »nur angewendet werden, wenn dies eindeutig notwendig ist«. Eine detailliertere Bewertung hält das Pharmakovigilanz- und Beratungszentrum für Embryonaltoxikologie der Berliner Charité (Embryotox) bereit. Dort heißt es: »Fosfomycin ist ein Antibiotikum der zweiten Wahl in der Schwangerschaft. Von einigen Autoren wird die orale Einmalgabe von Fosfomycin-Trometamol bei unkomplizierten Harnwegsinfekten in der Schwangerschaft auch als Mittel der Wahl empfohlen. Die intravenöse Anwendung sollte nur nach Prüfung besser geeigneter Alternativen erfolgen.«

Auch in der Stillzeit gibt Embryotox anderen Antibiotika gegenüber Fosfomycin den Vorzug, schreibt aber auch: »Nach einer oralen Einmalgabe darf uneingeschränkt gestillt werden. Bei einer längerfristigen intravenösen Anwendung sollte im Einzelfall nach sorgfältiger Risiko-Nutzen-Abwägung über das Stillen entschieden werden.«

Wie groß ist die Resistenzproblematik bei Fosfomycin?

Fosfomycin wird von Bakterien über zwei verschiedene Transporter aktiv in die Zelle aufgenommen. Resistenzen entstehen in der Hauptsache dadurch, dass dieser Transport gestört ist. Wegen des spezifischen Wirkmechanismus gibt es keine Kreuzresistenzen mit anderen Antibiotika.

Als Naturstoff, der aus Streptomyces-Arten isoliert wird, ist Fosfomycin schon seit 1969 in Gebrauch, wurde aber nur zurückhaltend eingesetzt. Daher ist die Resistenzlage noch weniger angespannt als bei anderen Antibiotika. Damit das so bleibt, strengte das Bundesinstitut für Arzneimittel und Medizinprodukte (BfArM) 2018 eine Überprüfung und Neubewertung von Fosfomycin durch die Europäische Arzneimittelagentur (EMA) an, die 2020 abgeschlossen wurde. Um die Wirksamkeit von Fosfomycin zu erhalten, schränkte die EMA die intravenöse Anwendung noch weiter ein, sodass der Wirkstoff jetzt als Reserveantibiotikum erst beim Versagen anderer Antiinfektiva eingesetzt werden darf.

Frag die KI
Die experimentelle KI
von PZ und PTA-Forum
Die experimentelle KI
von PZ und PTA-Forum
Die experimentelle KI
von PZ und PTA-Forum
 
FAQ
BETA
Menü
Zeit
SENDEN
Wie kann man die CAR-T-Zelltherapie einfach erklären?
Warum gibt es keinen Impfstoff gegen HIV?
Was hat der BGH im Fall von AvP entschieden?
Zeit
GESAMTER ZEITRAUM
3 JAHRE
1 JAHR
Senden
SENDEN
KI
IHRE FRAGE WIRD BEARBEITET ...
KI
KI
UNSERE ANTWORT
QUELLEN
22.01.2023 – Fehlende Evidenz?
LAV Niedersachsen sieht Verbesserungsbedarf
» ... Frag die KI ist ein experimentelles Angebot der Pharmazeutischen Zeitung. Es nutzt Künstliche Intelligenz, um Fragen zu Themen der Branche zu beantworten. Die Antworten basieren auf dem Artikelarchiv der Pharmazeutischen Zeitung und des PTA-Forums. Die durch die KI generierten Antworten sind mit Links zu den Originalartikeln. ... «
Ihr Feedback
War diese Antwort für Sie hilfreich?
 
 
FEEDBACK SENDEN
FAQ
Was ist »Frag die KI«?
»Frag die KI« ist ein experimentelles Angebot der Pharmazeutischen Zeitung. Es nutzt Künstliche Intelligenz, um Fragen zu Themen der Branche zu beantworten. Die Antworten basieren auf dem Artikelarchiv der Pharmazeutischen Zeitung und des PTA-Forums. Die durch die KI generierten Antworten sind mit Links zu den Originalartikeln der Pharmazeutischen Zeitung und des PTA-Forums versehen, in denen mehr Informationen zu finden sind. Die Redaktion der Pharmazeutischen Zeitung verfolgt in ihren Artikeln das Ziel, kompetent, seriös, umfassend und zeitnah über berufspolitische und gesundheitspolitische Entwicklungen, relevante Entwicklungen in der pharmazeutischen Forschung sowie den aktuellen Stand der pharmazeutischen Praxis zu informieren.
Was sollte ich bei den Fragen beachten?
Damit die KI die besten und hilfreichsten Antworten geben kann, sollten verschiedene Tipps beachtet werden. Die Frage sollte möglichst präzise gestellt werden. Denn je genauer die Frage formuliert ist, desto zielgerichteter kann die KI antworten. Vollständige Sätze erhöhen die Wahrscheinlichkeit einer guten Antwort.
Wie nutze ich den Zeitfilter?
Damit die KI sich bei ihrer Antwort auf aktuelle Beiträge beschränkt, kann die Suche zeitlich eingegrenzt werden. Artikel, die älter als sieben Jahre sind, werden derzeit nicht berücksichtigt.
Sind die Ergebnisse der KI-Fragen durchweg korrekt?
Die KI kann nicht auf jede Frage eine Antwort liefern. Wenn die Frage ein Thema betrifft, zu dem wir keine Artikel veröffentlicht haben, wird die KI dies in ihrer Antwort entsprechend mitteilen. Es besteht zudem eine Wahrscheinlichkeit, dass die Antwort unvollständig, veraltet oder falsch sein kann. Die Redaktion der Pharmazeutischen Zeitung übernimmt keine Verantwortung für die Richtigkeit der KI-Antworten.
Werden meine Daten gespeichert oder verarbeitet?
Wir nutzen gestellte Fragen und Feedback ausschließlich zur Generierung einer Antwort innerhalb unserer Anwendung und zur Verbesserung der Qualität zukünftiger Ergebnisse. Dabei werden keine zusätzlichen personenbezogenen Daten erfasst oder gespeichert.

Mehr von Avoxa