Pharmazeutische Zeitung online Avoxa
whatsApp instagram facebook bluesky linkedin xign

RASP-Inhibitoren
-
Neuer Ansatz beim trockenen Auge

Die Pathophysiologie des Sicca-Syndroms ist komplex und bisher nicht vollständig erforscht. Eine Rolle im Entzündungsgeschehen spielen reaktive Aldehydspezies (RASP). Ein erster RASP-Inhibitor befindet sich in den USA im Zulassungsverfahren.
AutorKontaktManfred Schubert-Szilavecz
Datum 14.02.2024  18:00 Uhr

Das trockene Auge (Sicca-Syndrom) gehört zu den häufigsten Augenkrankheiten. Etwa 15 bis 17 Prozent der deutschen Bevölkerung ist betroffen, heißt es in der Leitlinie »Trockenes Auge« des Berufsverbands der Augenärzte Deutschlands (BVA) und der Deutschen Ophthalmologischen Gesellschaft (DOG).

Die Symptome reichen von mildem Unbehagen im Sinne von Fremdkörpergefühl über Trockenheitsgefühl oder Kratzen bis hin zu stärksten Schmerzen und Sehverschlechterung. Zur Behandlung werden nicht medikamentöse Maßnahmen und medikamentöse Therapien, oftmals kombiniert, eingesetzt. Tränenersatzprodukte sind nach den aktuell gültigen Therapieempfehlungen Mittel der Wahl.

Signifikante Fortschritte im Verständnis der Pathophysiologie der Tränenfilmdysfunktion haben in den letzten Jahren die Entwicklung von Arzneistoffen zur Behandlung der Symptome befördert (siehe Kasten). Ein neuer Ansatz zielt auf reaktive Aldehydspezies (RASP) ab.

Früher Eingriff in die Entzündungskaskade

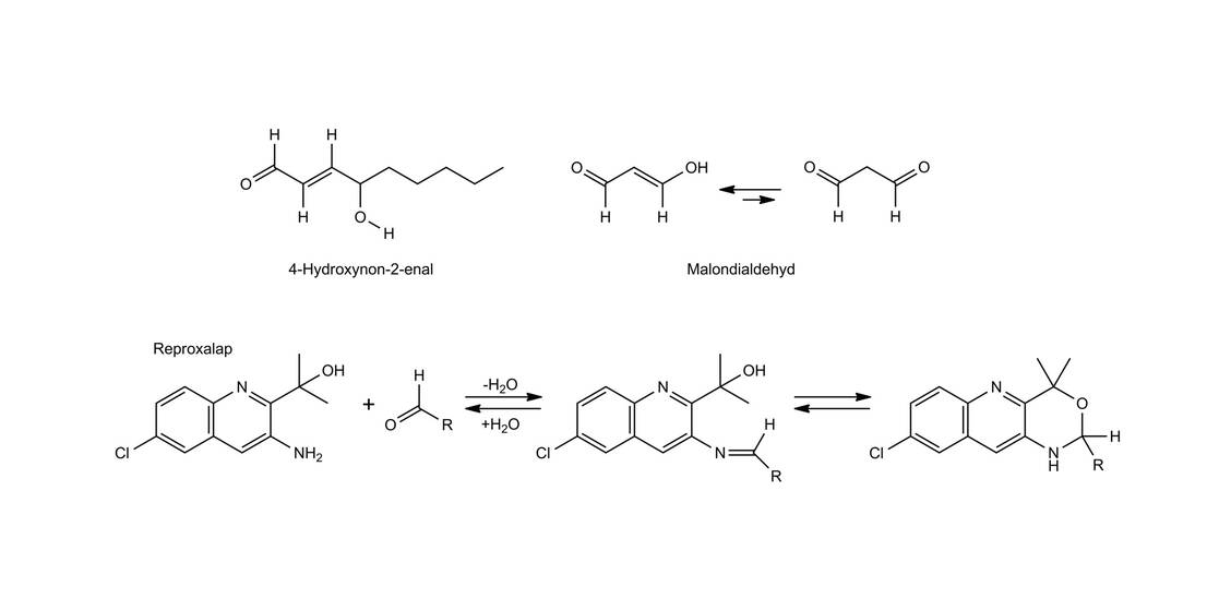
RASP sind reaktive Aldehydmoleküle, die kovalent mit verschiedenen Proteinen reagieren und so proinflammatorisch wirken. Die beiden am häufigsten referierten krankheitsassoziierten proinflammatorischen RASP sind Malondialdehyd und 4-Hydroxynonenal. Malondialdehyd wird mit zahlreichen Entzündungs- und Autoimmunkrankheiten in Verbindung gebracht, unter anderem mit Asthma bronchiale, Psoriasis und verschiedenen Augenerkrankungen.

RASP-Inhibitoren sollen als Gatekeeper bei Entzündungsreaktionen wirken, da sie am Beginn der Entzündungskaskade eingreifen, bevor es zur Aktivierung von T-Zellen und der Ausschüttung entzündungsrelevanter Zytokine kommt. Ein erster Vertreter ist der Arzneistoffkandidat Reproxalap (ADX-102) von Aldeyra Therapeutics, an dem beispielhaft in der Abbildung der molekulare Wirkmechanismus der RASP-Inhibitoren dargestellt ist. Das Aminochinolinderivat reagiert kovalent mit der Aldehydgruppe der RASP und senkt so deren Konzentration im entzündeten Gewebe.

Reproxalap konnte im TRANQUILITY-Studienprogramm zeigen, dass es die Entzündung bei Patienten mit nicht infektiöser anteriorer Uveitis, allergischer Konjunktivitis und trockenem Augen lindert. Der RASP-Inhibitor befindet sich derzeit in Form einer lokal am Auge zu applizierenden Lösung im US-amerikanischen Zulassungsverfahren.

Frag die KI
Die experimentelle KI
von PZ und PTA-Forum
Die experimentelle KI
von PZ und PTA-Forum
Die experimentelle KI
von PZ und PTA-Forum
 
FAQ
BETA
Menü
Zeit
SENDEN
Wie kann man die CAR-T-Zelltherapie einfach erklären?
Warum gibt es keinen Impfstoff gegen HIV?
Was hat der BGH im Fall von AvP entschieden?
Zeit
GESAMTER ZEITRAUM
3 JAHRE
1 JAHR
Senden
SENDEN
KI
IHRE FRAGE WIRD BEARBEITET ...
KI
KI
UNSERE ANTWORT
QUELLEN
22.01.2023 – Fehlende Evidenz?
LAV Niedersachsen sieht Verbesserungsbedarf
» ... Frag die KI ist ein experimentelles Angebot der Pharmazeutischen Zeitung. Es nutzt Künstliche Intelligenz, um Fragen zu Themen der Branche zu beantworten. Die Antworten basieren auf dem Artikelarchiv der Pharmazeutischen Zeitung und des PTA-Forums. Die durch die KI generierten Antworten sind mit Links zu den Originalartikeln. ... «
Ihr Feedback
War diese Antwort für Sie hilfreich?
 
 
FEEDBACK SENDEN
FAQ
Was ist »Frag die KI«?
»Frag die KI« ist ein experimentelles Angebot der Pharmazeutischen Zeitung. Es nutzt Künstliche Intelligenz, um Fragen zu Themen der Branche zu beantworten. Die Antworten basieren auf dem Artikelarchiv der Pharmazeutischen Zeitung und des PTA-Forums. Die durch die KI generierten Antworten sind mit Links zu den Originalartikeln der Pharmazeutischen Zeitung und des PTA-Forums versehen, in denen mehr Informationen zu finden sind. Die Redaktion der Pharmazeutischen Zeitung verfolgt in ihren Artikeln das Ziel, kompetent, seriös, umfassend und zeitnah über berufspolitische und gesundheitspolitische Entwicklungen, relevante Entwicklungen in der pharmazeutischen Forschung sowie den aktuellen Stand der pharmazeutischen Praxis zu informieren.
Was sollte ich bei den Fragen beachten?
Damit die KI die besten und hilfreichsten Antworten geben kann, sollten verschiedene Tipps beachtet werden. Die Frage sollte möglichst präzise gestellt werden. Denn je genauer die Frage formuliert ist, desto zielgerichteter kann die KI antworten. Vollständige Sätze erhöhen die Wahrscheinlichkeit einer guten Antwort.
Wie nutze ich den Zeitfilter?
Damit die KI sich bei ihrer Antwort auf aktuelle Beiträge beschränkt, kann die Suche zeitlich eingegrenzt werden. Artikel, die älter als sieben Jahre sind, werden derzeit nicht berücksichtigt.
Sind die Ergebnisse der KI-Fragen durchweg korrekt?
Die KI kann nicht auf jede Frage eine Antwort liefern. Wenn die Frage ein Thema betrifft, zu dem wir keine Artikel veröffentlicht haben, wird die KI dies in ihrer Antwort entsprechend mitteilen. Es besteht zudem eine Wahrscheinlichkeit, dass die Antwort unvollständig, veraltet oder falsch sein kann. Die Redaktion der Pharmazeutischen Zeitung übernimmt keine Verantwortung für die Richtigkeit der KI-Antworten.
Werden meine Daten gespeichert oder verarbeitet?
Wir nutzen gestellte Fragen und Feedback ausschließlich zur Generierung einer Antwort innerhalb unserer Anwendung und zur Verbesserung der Qualität zukünftiger Ergebnisse. Dabei werden keine zusätzlichen personenbezogenen Daten erfasst oder gespeichert.

Mehr von Avoxa