Pharmazeutische Zeitung online Avoxa
whatsApp instagram facebook bluesky linkedin xign
ARZNEISTOFFE

Cholsäure|Orphacol®|29|2014

 
STOFFGRUPPE
29 Cholagoga und Gallenwegstherapeutika
WIRKSTOFF
Cholsäure
FERTIGARZNEIMITTEL
Orphacol®
HERSTELLER

Laboratoires CTRS

MARKTEINFÜHRUNG (D)
05/2014
DARREICHUNGSFORM

50 mg Hartkapseln

250 mg Hartkapseln

ATC-CODE
A05AA03
ORPHAN DRUG
Ja

Indikationen

Zugelassen ist Orphacol bei Erwachsenen und Kindern ab einem Alter von einem Monat, bei denen ein angeborener Mangel an 3β-Hydroxy-Δ5-C27-steroid-Oxidoreductase oder Δ4-3-Oxosteroid-5β-Reductase vorliegt.

Wirkmechanismus

Orphacol ersetzt die fehlende Gallensäure.

Anwendungsweise und -hinweise

Die Tagesdosis liegt zwischen 5 und 15 mg Cholsäure pro kg Körpergewicht und wird für jeden Patienten entsprechend der Menge an produzierter Gallensäure angepasst, wobei die tägliche Dosis mindestens 50 mg und höchstens 500 mg betragen sollte.


Patienten sollten die Kapseln zusammen mit dem Essen einnehmen, da das die Bioverfügbarkeit erhöht.


Bei Säuglingen und Kindern, die keine Kapseln schlucken können, kann man die Kapseln öffnen und den Inhalt in Säuglingsnahrung oder Saft geben.


Generell sollte der Arzt die Therapie mit Cholsäure beenden, wenn sich die Leberfunktion
innerhalb von drei Monaten nicht verbessert.

Wichtige Wechselwirkungen

Da Phenobarbital die Cholsäure-Wirkung antagonisiert, ist die Anwendung des Antikonvulsivums bei Patienten, die Cholsäure einnehmen, kontraindiziert. Auch die gleichzeitige Einnahme von Cholsäure und Ciclosporin ist zu vermeiden, da Ciclosporin die Pharmakokinetik und -dynamik der Gallensäure verändert. Zudem binden Gallensäuresequestranten wie Colestyramin, Colestipol, Colesevelam und bestimmte Antacida wie Aluminiumhydroxid Gallensäuren und sorgen für deren Eliminierung. Zwischen ihrer Gabe und der Einnahme von Cholsäure sollten deshalb mindestens fünf Stunden liegen, unabhängig davon, was davon zuerst eingenommen wurde.

Nebenwirkungen

Die beobachteten Nebenwirkungen unter Cholsäure waren Durchfall, Juckreiz, erhöhte Transaminasen-Werte sowie Gallensteine. In der Fachinformation von Orphacol wird darauf hingewiesen, dass während der Therapie mit dem neuen Präparat regelmäßig die Gallensäurespiegel im Serum und/oder Urin sowie die Leberparameter zu überwachen sind. Gegebenenfalls muss der Arzt die Dosis anpassen.

Kontraindikationen und Vorsichtsmaßnahmen

Die gleichzeitige Anwendung von Phenobarbital und Cholsäure ist kontraindiziert.

Bei Überempfindlichkeit gegen den Wirkstoff oder einen der sonstigen Inhaltsstoffe ist das Arzneimittel kontraindiziert.

Studien

Die absoluten Patientenzahlen sind aufgrund der Seltenheit der beiden genetischen Anomalien sehr niedrig. Daher ist auch die Durchführung kontrollierter klinischer Studien unmöglich. Generell können für Orphan-Drug-Zulassungen auch Daten aus der wissenschaftlichen Literatur herangezogen werden. So ging auch der Hersteller von Orphacol vor. Er legte Literaturdaten von 49 Patienten mit angeborenen Fehlern der Synthese primärer Gallensäuren vor. 28 Patienten hatten Cholsäure eingenommen, die übrigen Patienten hatten andere oder gar keine Gallensäuren erhalten. Die dokumentierten Fälle zeigen, dass die Behandlung mit Cholsäure die Menge an anormalen Gallensäuren verringert, die normale Funktion der Leber wiederherstellt und eine unter Umständen erforderliche Lebertransplantation verzögert oder verhindert. Auch die Gesamtsymptomatik der Patienten ließ sich mit Cholsäure signifikant verbessern.


Da es aufgrund der niedrigen Patientenzahlen nicht möglich war, vollständige Informationen über Orphacol zu erhalten, ist das Arzneimittel »unter außergewöhnlichen Umständen« zugelassen. Der Hersteller ist dazu verpflichtet, eine Datenbank über mit Orphacol behandelte Patienten zu erstellen, um die Sicherheit und Wirksamkeit der Anwendung zu überwachen. Die Ergebnisse sind dem CHMP in regelmäßigen Abständen vorzulegen.

Hintergrundinfos

Cholsäure ist die vorherrschende primäre Gallensäure beim Menschen. Bei Patienten mit einem angeborenen Mangel an 3β-Hydroxy-Δ5-C27-steroid-Oxidoreductase oder Δ4-3- Oxosteroid-5β-Reductase ist die Biosynthese primärer Gallensäuren vermindert oder fehlt ganz. Beide angeborene Erkrankungen sind äußerst selten. Die Prävalenz in Europa liegt bei etwa drei bis fünf Patienten mit 3β-Hydroxy-Δ5-C27-steroid-Oxidoreductase-Mangel je zehn Millionen Einwohnern. Die Prävalenz des Δ4-3-Oxosteroid-5β-Reductase-Mangels liegt Schätzungen zufolge um das Zehnfache niedriger. Unbehandelt kommt es zur Bildung nicht physiologischer cholestatischer und hepatotoxischer Gallensäuremetaboliten in der Leber, im Serum und im Urin. Das kann zu Leberfunktionsstörungen und schließlich zum  lebensbedrohenden Leberversagen führen.

Besonderheiten

Orphacol ist bei Temperaturen nicht über 30 °C zu lagern.

Orphacol ist verschreibungspflichtig.

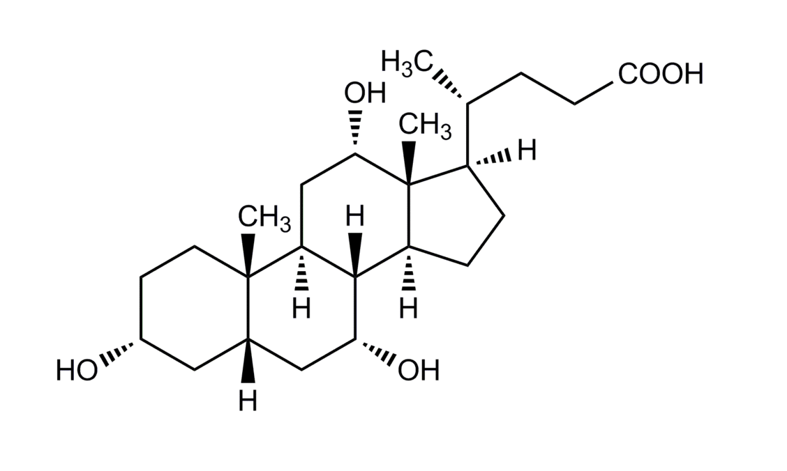
Formeln

Cholsäure

Cholsäure

Die dreidimensionale Strukturformel können Sie mit einem kostenlosen Zusatzprogramm aus dem Internet, zum Beispiel Cortona von Parallelgraphics, ansehen (externer Link).

Cholsre.wrl

Weitere Hinweise

Kontrazeptive Maßnahmen sind unter der Therapie mit Cholsäure nicht erforderlich.
Zur Anwendung von Cholsäure während einer Schwangerschaft liegen nur begrenzte Daten vor. Exponierte Schwangere zeigten keine unerwünschten Reaktionen auf den Wirkstoff und brachten normale, gesunde Kinder zur Welt. Tierexperimentelle Studien lassen nicht auf direkte oder indirekte schädliche Auswirkungen schließen.


Die Fachinformation weist darauf hin, dass es für schwangere Frauen äußerst wichtig ist, die Therapie während der Schwangerschaft fortzusetzen und empfiehlt als Vorsichtsmaßnahme eine engmaschige Überwachung.


Das Arzneimittel kann auch während der Stillzeit angewendet werden. Zwar gelangen Cholsäure und ihre Metaboliten in die Muttermilch. In therapeutischen Dosen sind jedoch keine Wirkungen auf den Säugling zu erwarten.

Packshot

Letzte Aktualisierung: 15.06.2016