Pharmazeutische Zeitung online Avoxa
whatsApp instagram facebook bluesky linkedin xign

Häufige Arzneistoffe
-
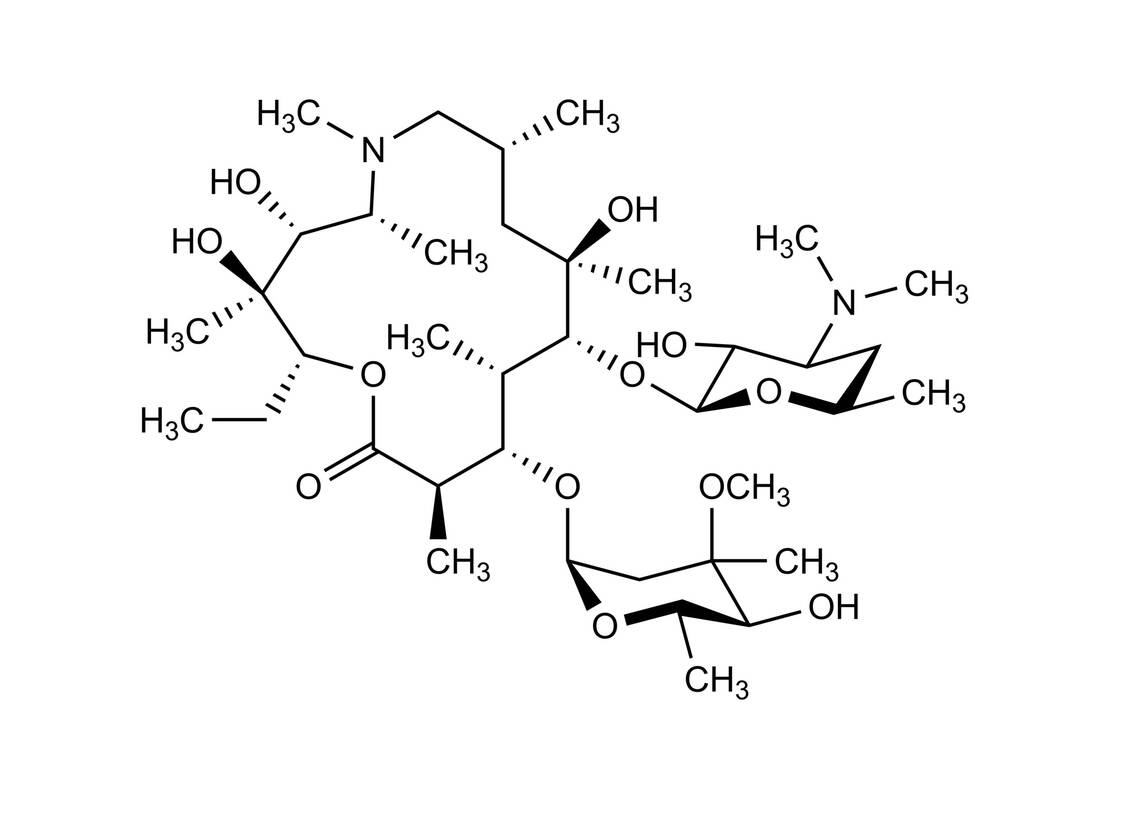
Steckbrief Azithromycin

Das Makrolid Azithromycin zählt zu den am häufigsten verordneten Antibiotika. Verwandt ist es mit Erythromycin, besitzt aber einen 15- statt eines 14-gliedrigen Rings. Darüber hinaus gibt es weitere Unterschiede, aber auch Gemeinsamkeiten mit anderen Makroliden.
AutorKontaktSven Siebenand
Datum 02.06.2021  07:00 Uhr

Wie wirkt Azithromycin?

Der Wirkungsmechanismus von Azithromycin beruht auf der Hemmung der Proteinbiosynthese durch Bindung an die 50S-Untereinheit des bakteriellen Ribosoms. Hieraus resultiert eine bakteriostatische Wirkung.

In welchen Indikationen ist Azithromycin zugelassen?

Das Antibiotikum kommt zur Behandlung verschiedener bakterieller Infektionskrankheiten zum Einsatz. So verordnen Ärzte es zum Beispiel bei Infektionen der unteren Atemwege wie Pneumonie und Bronchitis, aber auch bei Sinusitis, Otitis media, Pharyngitis und Tonsillitis. Auch bei leichten bis mittelschweren Infektionen der Haut und des Weichteilgewebes wird Azithromycin angewendet, ebenso bei genitalen durch Chlamydien verursachten Infektionen.

Welche Dosierung von Azithromycin wird empfohlen?

Die Halbwertszeit von Azithromycin liegt bei zwei bis vier Tagen, sodass eine einmal tägliche Einnahme und eine besonders kurze Behandlungsdauer möglich sind. Die Gesamtdosis beträgt bei Erwachsenen und Jugendlichen über 45 kg Körpergewicht in der Regel 1,5 g Azithromycin, die entweder nach einem Drei-Tage-Therapieschema oder einem Fünf-Tage-Therapieschema eingenommen wird. Im ersten Fall wird an drei Tagen einmal täglich 500 mg eingenommen. Im zweiten Fall liegt die Initialdosis am ersten Tag ebenfalls bei 500 mg, gefolgt von 250 mg täglich an den Tagen 2 bis 5. Die Gesamtdosis zur Behandlung von unkomplizierten Genitalinfektionen durch Chlamydia trachomatis beträgt 1000 mg Azithromycin. Sie wird auf einmal eingenommen.

Welche Nebenwirkungen sind möglich?

Sehr häufig kommt es zu Durchfall, häufig sind andere gastrointestinale Beschwerden wie Erbrechen, Übelkeit und Bauchschmerzen. Auch Kopfschmerzen und zum Beispiel verringerte Lymphozytenzahlen werden häufig beobachtet.

Da Azithromycin in erster Linie über die Leber eliminiert wird, sollte die Anwendung bei Patienten mit einer schweren Lebererkrankung nur mit Vorsicht erfolgen. Bei Auftreten von Symptomen einer Leberfunktionsstörung sollten unverzüglich Leberfunktionstests/Bestimmungen der Leberwerte durchgeführt werden.

Was ist mit Azithromycin in Schwangerschaft und Stillzeit?

Laut embryotox.de, der Website des Pharmakovigilanz- und Beratungszentrums für Embryonaltoxikologie der Berliner Charité, kann Azithromycin in Schwangerschaft und Stillzeit indikationsgerecht eingesetzt werden. Als besser geeignete Alternativen bei Schwangeren werden allerdings Penicilline und Cephalosporine genannt. In den Fachinformationen drücken sich die Hersteller für gewöhnlich zurückhaltender aus. Dies ist auch bei Azithromycin-haltigen Medikamenten der Fall.

Welche Wechselwirkungen gilt es zu beachten?

Im Gegensatz zu anderen Makroliden interagiert Azithromycin nicht wesentlich mit dem Cytochrom-P450-System in der Leber. Das ist ein klarer Vorteil.

Bei Patienten, die sowohl Azithromycin als auch Antazida erhalten, sollten beide Arzneimittel nicht zeitgleich eingenommen werden. Azithromycin sollte mindestens eine Stunde vor oder zwei Stunden nach dem Antazidum eingenommen werden.

Unter Behandlung mit Makrolid-Antibiotika kann es zur Verlängerung des QT-Intervalls am Herzen kommen. Das kann zu Arrhythmien oder Torsade de pointes führen – auch unter Azithromycin. Bei der Abwägung von Risiken und Nutzen des Antibiotikums für Risikogruppen muss die Gefahr einer QT-Zeit-Verlängerung daher berücksichtigt werden. Zu den Risikogruppen zählen auch Personen, die gleichzeitig andere QT-Zeit-verlängernde Wirkstoffe erhalten, zum Beispiel Antiarrhythmika wie Amiodaron und Sotalol.

Wer hatʼs erfunden?

Niemand aus der Schweiz. In den 1990er-Jahren brachte die Firma Pfizer Zithromax®, das wohl bekannteste Azithromycin-Präparat, auf den Markt. Entwickelt wurde der Wirkstoff jedoch schon Ende der 1970er- /Anfang der 1980er-Jahre im ehemaligen Jugoslawien bei der Firma Pliva. In den 1980er-Jahren gab es dort bereits das Medikament Sumamed®, dessen Name sich angeblich von summa summarum medicinae ableitet, die Summe aller Erkenntnisse der Heilkunst.

Frag die KI
Die experimentelle KI
von PZ und PTA-Forum
Die experimentelle KI
von PZ und PTA-Forum
Die experimentelle KI
von PZ und PTA-Forum
 
FAQ
BETA
Menü
Zeit
SENDEN
Wie kann man die CAR-T-Zelltherapie einfach erklären?
Warum gibt es keinen Impfstoff gegen HIV?
Was hat der BGH im Fall von AvP entschieden?
Zeit
GESAMTER ZEITRAUM
3 JAHRE
1 JAHR
Senden
SENDEN
KI
IHRE FRAGE WIRD BEARBEITET ...
KI
KI
UNSERE ANTWORT
QUELLEN
22.01.2023 – Fehlende Evidenz?
LAV Niedersachsen sieht Verbesserungsbedarf
» ... Frag die KI ist ein experimentelles Angebot der Pharmazeutischen Zeitung. Es nutzt Künstliche Intelligenz, um Fragen zu Themen der Branche zu beantworten. Die Antworten basieren auf dem Artikelarchiv der Pharmazeutischen Zeitung und des PTA-Forums. Die durch die KI generierten Antworten sind mit Links zu den Originalartikeln. ... «
Ihr Feedback
War diese Antwort für Sie hilfreich?
 
 
FEEDBACK SENDEN
FAQ
Was ist »Frag die KI«?
»Frag die KI« ist ein experimentelles Angebot der Pharmazeutischen Zeitung. Es nutzt Künstliche Intelligenz, um Fragen zu Themen der Branche zu beantworten. Die Antworten basieren auf dem Artikelarchiv der Pharmazeutischen Zeitung und des PTA-Forums. Die durch die KI generierten Antworten sind mit Links zu den Originalartikeln der Pharmazeutischen Zeitung und des PTA-Forums versehen, in denen mehr Informationen zu finden sind. Die Redaktion der Pharmazeutischen Zeitung verfolgt in ihren Artikeln das Ziel, kompetent, seriös, umfassend und zeitnah über berufspolitische und gesundheitspolitische Entwicklungen, relevante Entwicklungen in der pharmazeutischen Forschung sowie den aktuellen Stand der pharmazeutischen Praxis zu informieren.
Was sollte ich bei den Fragen beachten?
Damit die KI die besten und hilfreichsten Antworten geben kann, sollten verschiedene Tipps beachtet werden. Die Frage sollte möglichst präzise gestellt werden. Denn je genauer die Frage formuliert ist, desto zielgerichteter kann die KI antworten. Vollständige Sätze erhöhen die Wahrscheinlichkeit einer guten Antwort.
Wie nutze ich den Zeitfilter?
Damit die KI sich bei ihrer Antwort auf aktuelle Beiträge beschränkt, kann die Suche zeitlich eingegrenzt werden. Artikel, die älter als sieben Jahre sind, werden derzeit nicht berücksichtigt.
Sind die Ergebnisse der KI-Fragen durchweg korrekt?
Die KI kann nicht auf jede Frage eine Antwort liefern. Wenn die Frage ein Thema betrifft, zu dem wir keine Artikel veröffentlicht haben, wird die KI dies in ihrer Antwort entsprechend mitteilen. Es besteht zudem eine Wahrscheinlichkeit, dass die Antwort unvollständig, veraltet oder falsch sein kann. Die Redaktion der Pharmazeutischen Zeitung übernimmt keine Verantwortung für die Richtigkeit der KI-Antworten.
Werden meine Daten gespeichert oder verarbeitet?
Wir nutzen gestellte Fragen und Feedback ausschließlich zur Generierung einer Antwort innerhalb unserer Anwendung und zur Verbesserung der Qualität zukünftiger Ergebnisse. Dabei werden keine zusätzlichen personenbezogenen Daten erfasst oder gespeichert.

Mehr von Avoxa